Mary Turner Kinard Archives

USGenWeb Project 

USGenWeb

(Note:  The terms Chickasaw & Choctaw Nations are used here to refer to a place not to a people/tribe)

Archive Home

Census

1910 Garvin County

1920 Garvin County

1920 McClain County

1900 Chickasaw Nation Garvin County

1900 Chickasaw Nation Stephens County

1900 Chickasaw Nation McClain County

1900 Chickasaw Nation Grady County

1890 Oklahoma Territorial Census

1860 Lands West of Arkansas

Marriage

Garvin County Marriage Index 1907 - 1929

McClain County Marriage Index 1907 - 1929

Stephens County Marriage Index 1907 - 1912

Cleveland County Marriage Index 1895 - 1901

Choctaw Nation Marriage Index 1890 - 1907

Chickasaw Nation Marriage Index 1895 - 1907

LeFlore County Marriage Index 1907 - 1910

Houston County, Texas Marriage Index 1882 - 1917

Bosque County, Texas Marriage Index 1860 - 1928

 

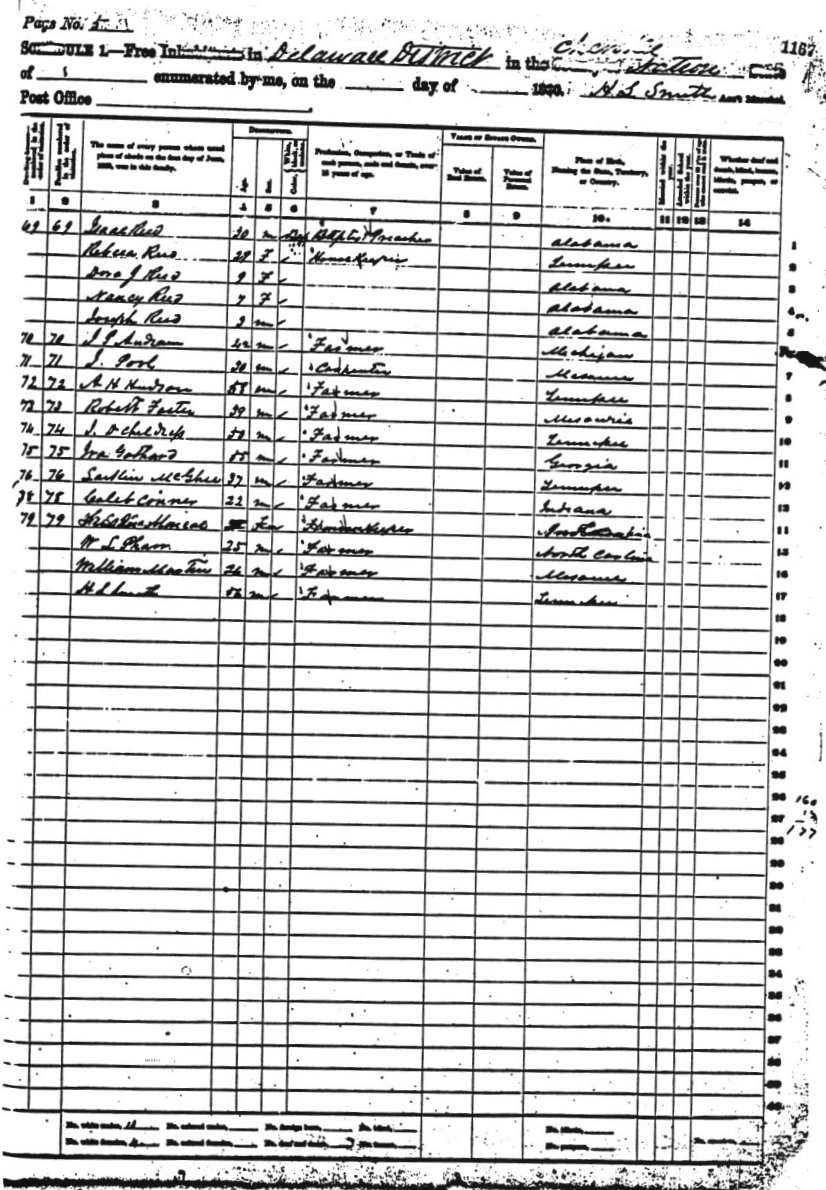
FEDERAL POPULATION SCHEDULE OF THE UNITED STATES CENSUS

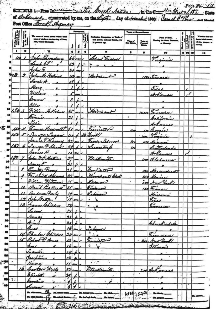
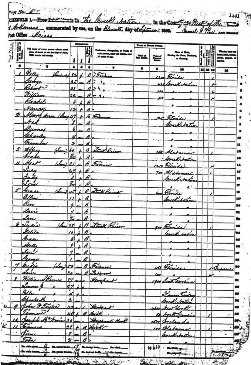
1860 Lands West of Arkansas

Please note this census has nothing to do with Arkansas.  It is a census for Indian Lands west of Arkansas in which a U.S. Marshall and his five assistant marshalls enumerated all the 'white and free inhabitants in the territories west of Arkansas'. This area was not a state.  It was made up of five Indian Nations, each with their own constitution and government.  These Indians were not United States citizens.   The non-Indians were there either by permit from the Indian Nations, or by intermarriage.  Only the American citizens were listed, not the Indian or the children, if any. You will have to look for them on an Indian Census. Oklahoma Territory and Indian Territory were merged into the state of Oklahoma in 1907. 

These records were complied by Mary Turner Kinard and are being displayed here with the permission of J.D.Kinard and family.  They are for your personal use only.  NOT TO BE COPIED FOR USE IN ANY COLLECTION FOR PROFIT OR DISPLAY.

These are images rather than transcriptions and make take some time to load depending on your computer.

Headings are as follows:
1. Dwelling numbered in the order of visitation
2. Families numbered in the order of visitation
3. Name of every person whose usual place of abode on the 1st day of June 1860, was in this family
4. Age
5. Sex
6. Color - White, Black, Mulatto
7. Profession, occupation or trade of each person, male & female over 15 years of age
8. Value of Real Estate
9. Value of Personal Estate
10. Birthplace
11. Married within year
12. Attended school within year
13. Persons over 20 years of age who cannot read or write
14. Whether deaf and dumb, blind, insane, idiotic, pauper or convict

Please use your browser's 'BACK' button to return to this page.

Cherokee Nation  - listed by H.S. Smith, Assistant Marshall
Page 1   Page 2    Page 3  Page 4    Page 5   Page 6    Page 7   Page 8    Page 9    Page 10   Page 11   Page 12   Page 13    Page 14   Page 15  Page 16  Page 17    Page 18  Page 19    Page 20  Page 21   Page 22   Page 23   

Chickasaw Nation  - listed by Wm. T. Strain, Assistant Marshall
Page 1   Page 2  Page 3   Page 4
Transcription


Choctaw Nation  - listed by E.C. Corder, Assistant Marshall
Index of these pages by Suzanne Hamlet Shatto
Page 1   Page 2    Page 3  Page 4    Page 5   Page 6    Page 7   Page 8    Page 9    Page 10   Page 11   Page 12   Page 13   Page 14   Page 15   Page 16  Page 17    Page 18  Page 19   Page 20  Page 21   Page 22   Page 23   

Creek Nation  - listed by Israel G. Vore, Assistant Marshall
Page 1   Page 2  Page 3   Page 4   Page 5   Page 6   Page 7   Page 8   Page 9   
  Page 10  Page 11   Page 12   Page 13   Page 14   Page 15   Page 16

Seminole Nation  - listed by Samuel M. Rutherford, Assistant Marshall
Page 1   Page 2