Elmore City Cemetery
Cemetery Lot Purchasers with Lot & Block Listing

Return to Cemetery Index

This material is donated by people who want to communicate with and help others. Every effort is made to give credit and protect all copyrights. Presentation here does not extend any permissions to the public. This material can not be included in any compilation, publication, collection, or other reproduction for profit without permission.

Elmore City, Garvin County, Oklahoma
See Lot Block Map

 

Surname        Block

A

Abshure        10
Adams          13
Aldridge        20
Alexander        1
Andrews        23
Atkinson        19

B

Baird           34
Baker           21
Ball              26
Ballentine        24
Ballou          14
Barfield        17
Barnett         9
Battles          8
Beddo          9
Blankenship        33
Bobo            30
Boling           28
Bonifield        34
Brackin         20
Brewer          22     24     39     40
Brister           25     26
Brookshire    39
Brown           7       10     29
Bruington       7
Bullard           33
Bural             23
Burch            24
Busey           1      16     23     39
Byrd            15

C

Cagle             37
Cantwell        30
Carpenter      3       30     33
Cassell    
     18
Chambless     23
Chapman       28     34
Childress        15
Christian        7       30
Church         40
Clark            17     27     28     38
Clemons        38
Clour             31
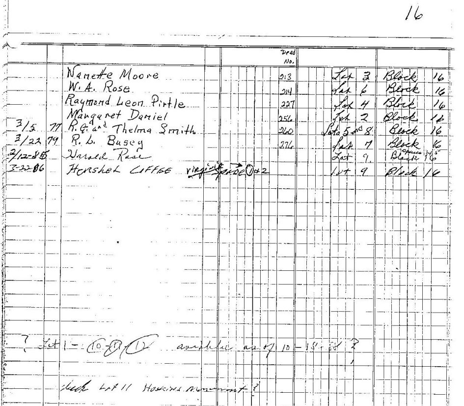
Coffee           16
Combs           15
Conrad          37
Cook               36     37
Cooksey        24     25
Cox                 12
Crawford       20
Cummings      25
Cunnis             5
Cunnius         20

D

Damron         26
Daniel          16     29
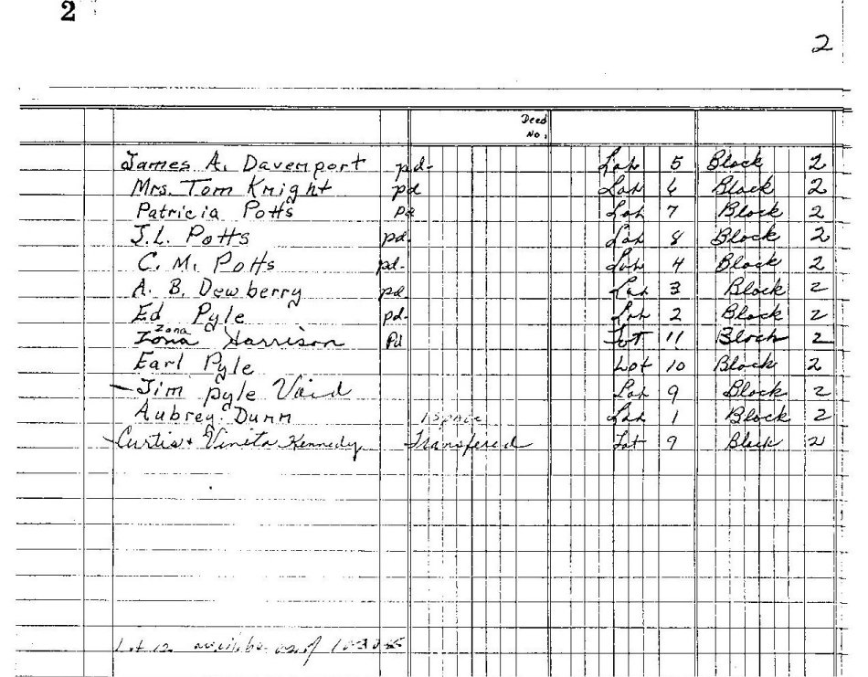
Davenport        2
Denney         19
Dent               25
Dewberry       2
Dill                  10      11
Doss               23      31
Downes         15
Drennan        37
Dunn               2        29
Dutton             13      14      29

E

Eastep             31
Elkins              28
Ellis                 14      40
Evans              9        22      41
Ezell                27

F

Farris              24
Ferguson        30(2)  31
Fincher          39
Fisher              13
Fogle               25
Forehand       38

G

Gardner      11
Garner         34
Garrett         33
Gibson         17
Gilbert          19
Gillespie       12
Goolsby       15
Graves          5        11      15      26
Gravitt           28
Gray              10
Greggs           34
Griffin           40
Griffith           28
Griggs             34

H

Hale            22
Hall             6
Hancock      22
Hanun         24
Hardy          12
Hargis          32
Harman        17
Harmon         31      35      37
Harrell           6
Harrington     20
Harrison         2        15
Helvey           18      36
Henderson     35
Herriage          4
Herrin              1
Hilliard             31
Hinkle              34
Holbrook        25
Holliun             29
Holman           26
Hoppe             30
Horn                32
Horton             25
Howard            1       18      29      36
Howell             7  
Huffman            36    
Hughes              26
Hustead            10      26

I

Ivey            4        36

J

Jacks              36
Jackson          29
Jennings          28
Johnson           8        14
Jones              3        31      35

K

Kennedy        2        27      32      33      36
Knight             2
Knowlton       15

L

Lee             12
Lewis          25      26
Lindsey        15      29
Linz              34
Loftin          37
Long            4        20      24      26
Looney        10
Lozier           14
Lynn             1        12      17      27

M

McAlister       35
McCaskill       9
McDonald       13
McGregor       41
McIntyre           8
McKay             4        40
McKee             18      36
McKey             40
McNeice        28
McNeil           27      28
McNeill             32
Majors             35
Mann               5          28
Martin              27        34
Massagee         26        33
Maxwell           4
Mercer             35        40
Merrit               14
Minnick            15
Minton             1          10        29
Moore              8          16
Moorehouse     17
Morgan            40
Mullanex          1

N

Nash                25
Nation              25
Neal                 4          37
Neer                8
Nesmith            14        32
Newton             40
Nipper             35

O

Odell                3
Orr                   35
Osborn             23
Osborne           24
Owens             9

P

Paine            15
Park             1
Parker          5          14
Parkey          6
Parks           20
Patterson          39
Patton              7
Payne               15
Perry                12
Peterson           35
Phillips              35
Pickens            5          39
Pickett          11        25
Pirtle                16
Pollard             6          7
Potts                2          3          4          28
Priest                5
Pyle                 2          3          7          30

R

Raibourn          1
Rankin              26
Reynolds          35
Rickert             11
Ridgett             23
Rinker              10
Risenhoover     19
Robinson          10        21        38
Roller               9
Rose                16        39
Rosenlieb         28
Runyon             33        38        40
Rushing            18
Russell                15        17        39

S

Sadler            25(2)
Sawyer           11
Schmidt            23
Scoggin            14
Selby                30        38
Shirley              1(2)      12
Simmons          13        39
Sitz                   23
Skelton             25
Smith                1    11    16    20   34
Son                  12
Sons                31
Speakman        26
Speaks                 7
Speed                  27
Spence             1
Steadman         13
Stelding            49
Stephens          14
Stewart            18        29        39
Stribling            33
Stubblefield      9      11     27        28        29
Sullivan         33

T

Taliaferro          37
Taylor
              36
Terrell              6
Terry                18
Thomas            29
Tillery               8          12        19        32
Travis               13
Turner              12        17        29

U

Unsell               4

V

Vanbuskirk       6          22
Vaughn             29        37
Veazey             27
Vital                 15

W

Wade            8  
Walker
        28
Ward            1      3        5          8          20
Webb            23
Weems          29
Welch            32
Welcher         13        22        26
White             24
Wigley            9
Williams          6          20        32
Wilson             38
Wolf                7
Wollard           10
Wood              25
Woolsey          34        35
Wooten            4
Worsham         12
Wright              6

Y

Yeary              37
Young             19           

Block   1

Block    2

Block    3

Block    4

Block    5

Block    6

Block    7

Block    8

Block    9

Block   10

Block    11

Block    12

Block    13

Block    14

Block    15

Block    16

Block    17

Block    18

Block    19

Block    20

Block    21

Block    22

Block    23

Block    24

Block    25

Block    26

Block    27

Block    28

Block    29

Block    30

Block    31

Block    32

Block    33

Block    34

Block    35

Block    36

Block    37

Block    38

Block    39

Block    40

Block    41

 

 

 

 

 

 

 

[an error occurred while processing this directive]